Fundraising-Beratung
Das einzigartige Fundraising-Fitnessprogramm
→ Spenden stagnieren? ↓ Spenden sinken? ↑ Wie zu mehr Spenden?
Das Fundraising-Fitnessprogramm bringt 10% mehr Spenden
(oder mehr)
Mit unserer Fundraisingberatung machen wir Hilfswerke noch fitter für den immer härteren Spendenmarkt im Bereich der Mailings bzw. Gönnerbriefe. Denn womit gestern bei den Gönnern ins Schwarze getroffen wurde, da kann sich heute bereits die Türe schliessen. Mit unserem Fitnessprogramm werden oft 10% höhere Spendenerträge möglich. Oder mehr.
Reduktion des Gönnerabflusses stärkt Erträge
Bei unserer Fundraisingberatung machen wir zuerst eine Spendenanalye. Dabei analysieren wir anonymisierte Spendendaten und berechnen daraus den Spenderadressfluss (siehe Graphik links und das Dokument Spenderadressfluss-Analyse).
Daraus leiten wir Massnahmen ab, wie das Hilfswerk den Gönnerabfluss markant reduzieren kann. Dabei gilt es, den Hebel v.a. bei der Adressdatenbank anzusetzen. So kann mit wenig Aufwand eine grosse Spendenwirkung erzielt werden.
Optimierte Mailings bringen mehr Spenden
Im Fundraising-Beratungsprozess analysieren wir weiter die Struktur und den Inhalt der Mailings. Auch in diesem Bereich gibt es sehr oft ein grosses Optimierungspotential, das die Spenden oft um 10% bis 20% steigern kann.
Gestärkte Gönnerbindung spart Geld
Mit der Spendenadressfluss-Analyse ermitteln wir auch die Entwicklung der Gönnerbindung über die Jahre. Daraus entwicklen wir in unserer Fundraisingberatung dann Massnahmen, mit denen die Gönnerbindung gestärkt werden kann. Denn jeder Gönner, der bleibt, stärkt die Spenden- und Ertragsbasis. Und so kann sehr oft bei der Neugönnergewinnung viel Geld eingespart werden.
Höhere Durchschnittsspenden dank Gönnerupgrading
Aus der Spendenanalyse ermitteln wir auch, wie gut das Gönnerupgrading gelingt und welche Entwicklungspotentiale in diesem Bereich noch vorhanden sind. Unsere Praxis in der Fundraisingberatung zeigt: Es lohnt sich gerade auch an dieser Stelle, den Hebel anzusetzen. Denn mit wenig Aufwand kann der Spendenertrag deutlich gesteigert werden.
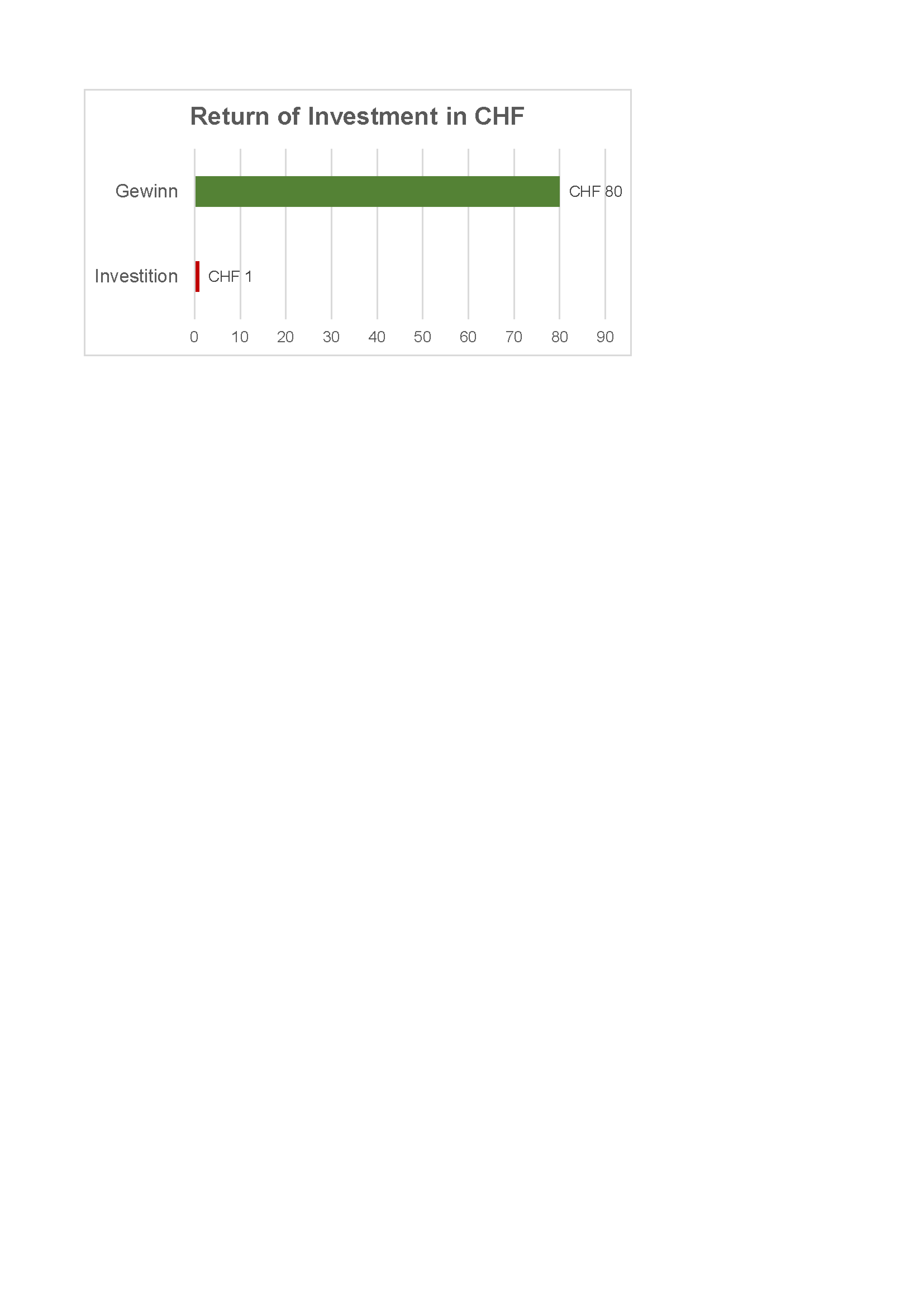
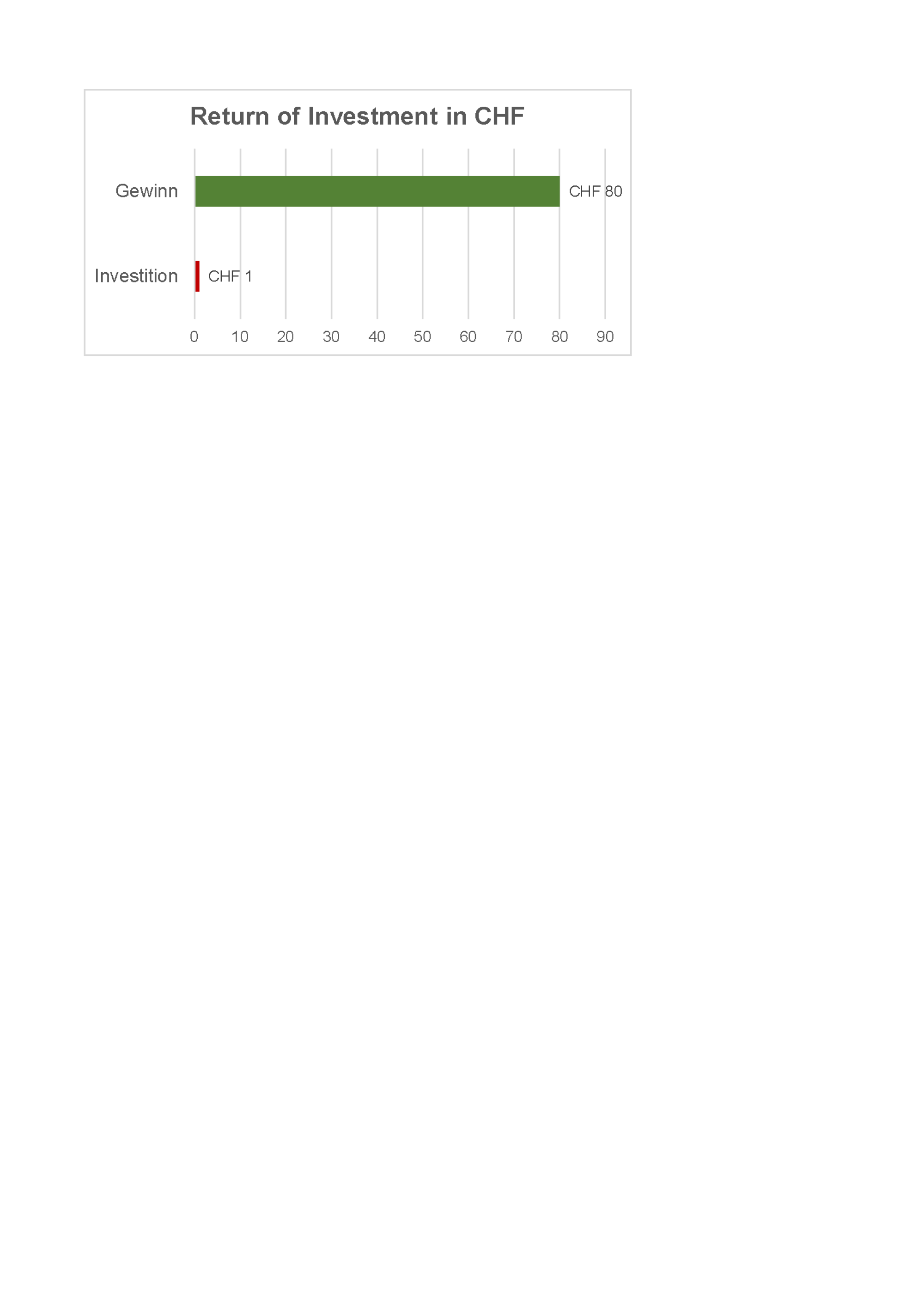
Modellrechnung des ROI des Fundraising-Fitnessprogramms
Gesetzt den Fall ein Hilfswerk hat einen Jahres-Spendenertrag von CHF 500'000. Und es gelingt aufgrund unseres Fundraising-Fitnessprogramms, den Ertrag über 10 Jahre um 10% zu steigern.
Wie hoch ist dann der Zusatzwertrag, welcher nach 10 Jahren erzielt wurde? Dieser beträgt dann CHF 500'000.
Eine Investition in das Fundraising-Fitnessprogramm kann dann z.B. mit einem ROI von z.B. 80 entfalten (siehe Graphik links). Dies bedeutet ganz praktisch, dass pro 1 investiertem Franken ein Zusatzertrag von 80 Franken erzielt wird.
Damit zeigt sich: Das Fundraising-Fitnessprogramm und unsere Fundraisingberatung ist eine Investition, welche sich unter dem Strich sehr oft wirklich rentiert. Weiter stellt diese Investition sehr oft Investitionen in andere Fundraising-Werkzeuge weit in den Schatten.
Fitter für den Spendenmarkt
Wenn alle diese vergleichweise kleinen Massnahmen-Pakete umgesetzt werden, wird das Hilfswerk noch fitter für den Spendenmarkt. So werden dank unserer Fundraising-Beratung und unserem Fundraising-Fitnessprogramm sehr oft Spenden im Bereich von zusätzlichen 10% und mehr erzielt. Das bedeutet dann für ein Werk unter dem Strich mehr finanzielle Sicherheit.
Wollen Sie mehr zu unserer Fundraisingberatung und unsrem Fundraising-Fitnessprogramm erfahren? An dieser Stelle können Sie unseren Flyer zum Fundraising-Fitnessprogramm herunterladen.
Jetzt kann es sein, dass diese Spendensteigerungen bei Ihrem Hilfswerk möglich ist. Es kann aber auch sein, dass es nicht möglich ist.
Wenn Sie wissen wollen, ob es bei Ihnen möglich ist, dann nehmen Sie mit mir Kontakt auf.
Horst Bührer
Inhaber und Geschäftsführer
Fundraising-Manager ZHAW
T 058 255 00 57

Kundenstimmen zum Fundraising-Fitnessprogramm
Jürg Wüthrich, Leiter Vision Europa
« Du hast uns geholfen die Dinge zu entdecken, die wir verbessern können. Dein Bericht in Form des Fundraising-Fitnessprogramms wird uns noch lange ein Wegbegleiter sein, der uns hilft, unsere Arbeit noch besser zu machen.
Die wohlwollende und kritische Aussensicht hat uns entscheidend inspiriert und wichtige Impulse gesetzt. »
Pietro Canonica, Consultant, Geschäftsführer NPO
« Eine vorbildliche Analyse der Verhältnisse mit einem Fundraisingcheck bildete die Grundlage.
Daraus konnten wir gemeinsam eine Strategie entwickeln und einen Massnahmenkatalog erstellen. »
Thoma Vuilleumier, Secrétaire général
Konkret und alle unsere Fundraising-Tools und Fundraising-Kanäle abdeckend, gibt uns die geleistete Arbeit die Schlüssel, um sofort zu handeln. Wir danken und empfehlen Creating Bridges wärmstens ! »
Florian Wüthrich, Geschäftsführer
« Wir haben Hinweise und Tools erhalten, wo man im Fundraising noch etwas herausholen kann.
Jeder Franken für das Fundraising-Fitnessprogramm hat sich gelohnt. »
Marilyn Rollier, Direktorin
« Durch das « Fundraising Fitness Programm » wurde uns nicht nur die Situation [im Bereich des Fundraisings] in ihrer Entwicklung sehr klar, sondern auch die gegebenen, sehr praktischen Schlüssel, um Einfluss auf das weitere Vorgehen [im Fundraising] zu nehmen, erschienen uns durchaus realisierbar. »
[ ] = Ergänzung durch die Redaktion
Jonathan Eschmann, Geschäftsführer
Fit und gestärkt haben wir nun dank dem selbsterklärenden, praxisbezogen und preiswerten Fundraising-Fitnessprogramm von Creating-Bridges innert kurzer Zeit viele tolle Impulse erhalten, wie wir unser Fundraising auf ein neues Level bringen können.
Matthias Ziehli, Co-Geschäftsleiter
Herr Bührer hat uns eine super Analyse unserer Fundraising-aktivitäten gemacht, welche uns hilft, unser Fundraising stark zu verbessern und damit einen grösseren Erfolg zu erzielen.
Linus Pfister, Geschäftsführer
Bei vielen Fundraisern kommt nur heisse Luft.
Bei Ihnen ist es anders.
